Calcule o valor da taxa de vistoria tecnica ou analise de projeto
Informe os dados
Valor atual da UPF:
R$ 14,24
m2
Calculando...
Resultado
Tipo de Servico:
Area informada:
UPF (R$):
Quantidade de UPFs:
Valor da Taxa:
Como e calculado?
As taxas são calculadas com base no valor da UPF (Unidade Padrão Fiscal) vigente, atualmente em R$ 14,24.
Vistoria Tecnica
Faixa de Area
Formula
Ate 50 m²
7 x UPF
De 51 a 100 m²
19 x UPF
Acima de 100 m²
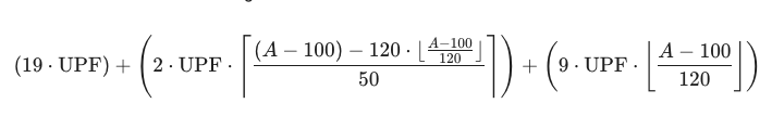
Entendendo a formula (acima de 100 m²)
Base fixa:19 x UPF e o custo inicial para os primeiros 100 m².
Ciclos de 120 m²:
O termo
conta quantos blocos inteiros de 120 m² existem alem dos 100 iniciais, aplicando uma taxa de 9 x UPF para cada bloco.
Residuo em blocos de 50 m²:O termo central calcula o que "sobrou" dos blocos de 120 m² e divide em fracoes de 50 m² (arredondando para cima), aplicando uma taxa de 2 x UPF por fracao.
Analise de Projeto
Faixa de Area
Formula
Ate 50 m²
10 x UPF
De 51 a 100 m²
15 x UPF
De 101 a 120 m²
18 x UPF
Acima de 120 m²
Entendendo a formula (acima de 120 m²)
Base fixa:18 x UPF e o custo inicial para os primeiros 100 m².
Ciclos de 120 m²:
O termo
(A - 120)
conta quantos blocos inteiros de 120 m² existem alem dos 100 iniciais, aplicando uma taxa de 9 x UPF para cada bloco.
Frações Adicionais:A divisão por 50 com o arredondamento para cima (⌈⌉) indica que cada bloco de 50 m2 (ou fração dele) adiciona 4⋅UPF ao valor total.